中考数学压轴题常见题型五:几何综合类问题
几何综合问题常常以数与形、代数计算与几何证明、相似三角形的判定与性质、画图分析与列方程求解、勾股定理与函数、圆和三角相结合的综合性试题出现。同时会考查到一些数学思想:如数形结合思想、分类讨论思想、几何运动变化等数学思想。
典型例题分析5:
在Rt△ABC中,∠BAC=90°,BC=10,tan∠ABC=3/4,点O是AB边上动点,以O为圆心,OB为半径的⊙O与边BC的另一交点为D,过点D作AB的垂线,交⊙O于点E,联结BE、AE
(1)当AE∥BC(如图(1))时,求⊙O的半径长;
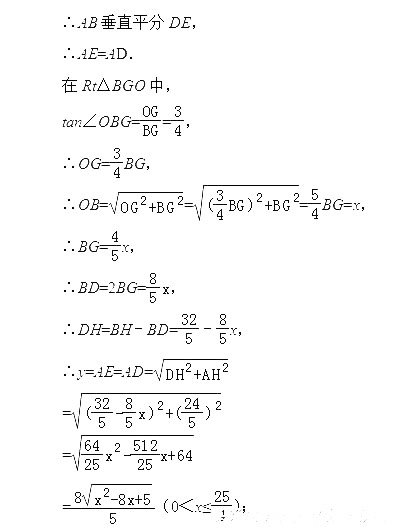
(2)设BO=x,AE=y,求y关于x的函数关系式,并写出定义域;
(3)若以A为圆心的⊙A与⊙O有公共点D、E,当⊙A恰好也过点C时,求DE的长.





考点分析:
圆的综合题;全等三角形的判定与性质;线段垂直平分线的性质;等腰三角形的性质;勾股定理;平行四边形的判定与性质;锐角三角函数的定义.
题干分析:
(1)过点O作OG⊥BD于G,设AB与DE的交点为F,如图(1),易证△AEF≌△BDF及四边形AEDC是平行四边形,从而可得BD=DC=5,根据垂径定理可得BG=DG=BD/2=5/2,然后在Rt△BGO中运用三角函数和勾股定理即可求出⊙O的半径长;
(2)过点A作AH⊥BC于H,如图(2),运用三角函数、勾股定理及面积法可求出AC、AB、AH、BH、CH,根据垂径定理可得DF=EF,再根据线段垂直平分线的性质可得AE=AD.然后在Rt△BGO中运用三角函数和勾股定理可求出BG(用x的代数式表示),进而可用x的代数式依次表示出BD、DH,AD、AE,问题得以解决;
(3)①若点D在H的左边,如图(2),根据等腰三角形的性质可得DH=CH,从而依次求出BD、DF、DE的长;②若点D在H的右边,则点D与点C重合,从而可依次求出BD、DF、DE的长.