欢迎光临江苏秦学教育官网~
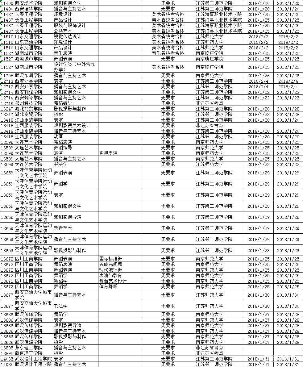
2018年拟在江苏省招生艺术校考院校名单(第二批)
艺考资讯 来源:网络 编辑:楠哥 2017-12-28 17:27:41

  艺考的同学们辛苦啦,刚参加完省统考又要开始准备校考了,尽管很辛苦但是也一定要坚持哦!为了方便大家,江苏省教育考试院将分期分批公布拟在江苏省招生艺术校考院校名单供大家参考,请考生提前做好相关报考准备,及时查阅相关院校招生章程。下面是第二批名单,图片点击可放大!
2018年拟在江苏省招生艺术校考院校名单(第二批)2018年拟在江苏省招生艺术校考院校名单(第二批)2018年拟在江苏省招生艺术校考院校名单(第二批)2018年拟在江苏省招生艺术校考院校名单(第二批)2018年拟在江苏省招生艺术校考院校名单(第二批)2018年拟在江苏省招生艺术校考院校名单(第二批)
推荐:2018年拟在江苏省招生艺术校考院校名单(第一批)|重磅

*本文内容来源于网络,由秦学团队整理编辑发布,如有侵权请联系客服删除!
文章标签:
上一篇:江南大学2018年艺术类专业本科招生简章及2017年录取分数线 下一篇:江苏省艺术类本科录取分数线不得低于二本线65%,上名校竞争更激烈
  • 热门课程
  • 热门资讯
  • 热门资料
  • 热门福利
秦学教育
为广大家长学生提供升学资讯内容
咨询报名电话:400-000-0007