欢迎光临江苏秦学教育官网~
咸阳市2017-2018学年度第一学期期末质检测高二文科数学答案
高中 来源:网络 编辑:楠哥 2018-02-07 10:20:25

  咸阳市2017-2018学年度第一学期期末质检结束,为方便大家能够及时对答案,知道自己考得怎么样,南京秦学教育小编将咸阳市2017-2018学年度第一学期期末质检高二文科数学试题答案高清版版发送给大家。

  咸阳市2017-2018学年度第一学期期末质检高二文科数学试题答案
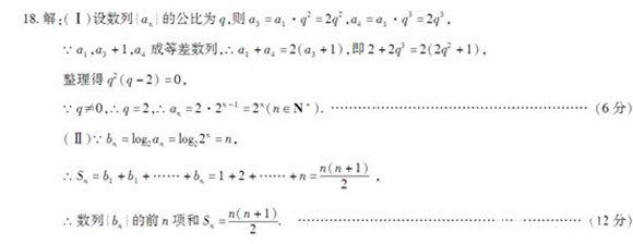
咸阳市2017-2018学年度第一学期期末质检测高二文科数学答案
咸阳市2017-2018学年度第一学期期末质检测高二文科数学答案
咸阳市2017-2018学年度第一学期期末质检测高二文科数学答案
#p#副标题#e#
咸阳市2017-2018学年度第一学期期末质检测高二文科数学答案
咸阳市2017-2018学年度第一学期期末质检测高二文科数学答案
咸阳市2017-2018学年度第一学期期末质检测高二文科数学答案
咸阳市2017-2018学年度第一学期期末质检测高二文科数学答案
咸阳市2017-2018学年度第一学期期末质检测高二理科数学答案

*本文内容来源于网络,由秦学团队整理编辑发布,如有侵权请联系客服删除!
文章标签:
上一篇:咸阳市2017-2018学年度第一学期期末质检测高二理科数学答案 下一篇:咸阳市2017-2018学年度第一学期期末质检高二政治试题答案电子版
  • 热门课程
  • 热门资讯
  • 热门资料
  • 热门福利
秦学教育
为广大家长学生提供升学资讯内容
咨询报名电话:400-000-0007