欢迎光临江苏秦学教育官网~
湖北调考 2018年湖北省高三4月调考理科数学试卷真题答案
高中 来源:网络 编辑:楠哥 2018-04-26 15:33:31

  秦学教育小编现在跟大家分享2018年湖北省高三4月调考理科数学试卷真题答案,相对答案的赶紧看!
推荐:  湖北调考 2018年湖北省高三4月调考理综试卷答案

  湖北调考 2018年湖北省高三4月调考各科试卷及答案汇总 
 

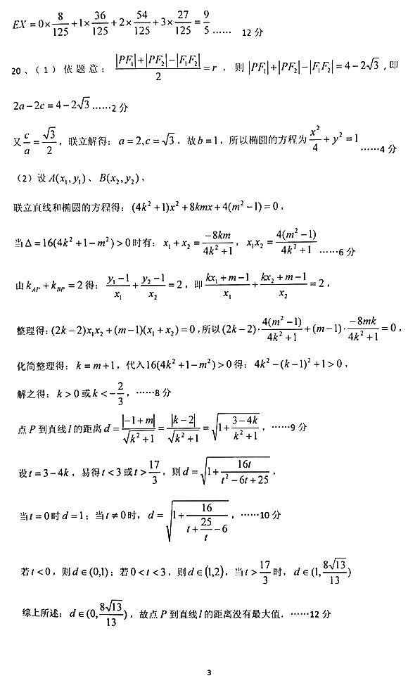
湖北调考  2018年湖北省高三4月调考理科数学试卷真题答案
湖北调考  2018年湖北省高三4月调考理科数学试卷真题答案
#p#副标题#e#
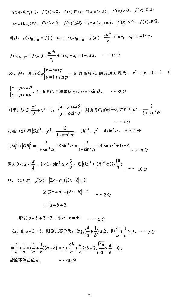
湖北调考  2018年湖北省高三4月调考理科数学试卷真题答案
湖北调考  2018年湖北省高三4月调考理科数学试卷真题答案
#p#副标题#e#
湖北调考  2018年湖北省高三4月调考理科数学试卷真题答案
*本文内容来源于网络,由秦学团队整理编辑发布,如有侵权请联系客服删除!
文章标签:
上一篇:湖北调考 2018年湖北省高三4月调考语文试卷答案 下一篇:2018潍坊二模 潍坊市高三第二次高考模拟考试理综试题及答案
  • 热门课程
  • 热门资讯
  • 热门资料
  • 热门福利
秦学教育
为广大家长学生提供升学资讯内容
咨询报名电话:400-000-0007